Abstract
Background:
Eltrombopag is an agonist of the thrombopoietin receptor, and it has achieved great efficacy in the treatment of immunologic thrombocytopenic (ITP) and reduction of platelets (PLT) after hematopoietic stem cell transplantation (HSCT), but it remains unclear whether Eltrombopag can promote PLT engraftment after HSCT.
Methods:
37 patients with HSCT were administered Eltrombopag 50 mg (qd) from +1 day until PLT >50x10^9/L or 1 month after HSCT. 45 patients in the same period applied TPO to promote PLT engraftment after HSCT and served as a control group. The engraftment time of PLT and WBC (white blood cell) as well as the GVHD incidence and adverse reaction were compared and analyzed in the two groups.
Results:
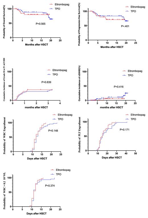
A total of 37 patients received Eltrombopag, 2 of the patients withdrew from the study due to intolerable gastrointestinal reactions. 35 patients eventually completed treatment with Eltrombopag. In Eltrombopag group, median time to WBC engraftment was 12 days (range, 10-17 days) and PLT engraftment was 15 days (range, 10-29 days). At the 1st month after HSCT, the median WBC was 3.93 x10 9/L (range, 0.87-40.01 x10 9/L) and the median PLT was 91 x10 9/L (range, 33-401 x10 9/L) in the Eltrombopag group. MKCs in the bone marrow were assayed at 1 month after HSCT. Median MKCs level was 40 (range, 2-345) in the Eltrombopag group. 13 (37%) patients developed grade II-IV aGVHD and 1 (2%) patient developed cGVHD in the Eltrombopag group. Of these 35 patients, 3 (8%) presented with elevated total bilirubin (TBIL), no patient had elevated alkaline phosphatase (ALP), 17(48%)developed proteinuria, 1 (2%) people with elevated blood urea nitrogen (BUN) and no patient showed elevated creatinine (CREA). A total of 45 patients were applied TPO during the same period. Among these patients, the median engraftment time for WBC and PLT was 12 days (range, 9-23 days) and 15 days (range, 9-41 days), respectively. At the 1st month after HSCT, the median number of WBC and PLT were 4.30 x10 9/L (range, 0.99-23.63 x10 9/L) and 79.5 x10 9/L (range, 5-512 x10 9/L), respectively. At the 1st month after transplantation, the median number of MKCs in the bone marrow were 44 (range, 2-788). 16 (35%) patients developed grade II-IV aGVHD and 6 (13%) patients developed cGVHD in the TPO group. Among these 45 patients, 7 (15%) presented with elevated TBIL, 5 (11%) had elevated ALP, 25 (55%) developed proteinuria, 4 (8%) people with elevated BUN and 1 (2%) patient showed elevated CREA. The engraftment time of PLT and WBC were same in the Eltrombopag group and the TPO group and the adverse reactions occurred similarly in both groups.
Conclusion:
Eltrombopag can be used to promote PLT engraftment after all-HSCT with acceptable adverse reaction.
No relevant conflicts of interest to declare.

This feature is available to Subscribers Only
Sign In or Create an Account Close Modal